반응형
1. 채권의 특성
1.1 채권이란
- 차입자(정부, 공공기관, 일반기업체, 금융기관 등)가 투자자들로부터 자금을 조달하기 위해 발행하는 일종의 채무증서
- 채권의 액면가 (Face value), 액면(표면) 이자율 (coupon rate), 만기(maturity)
1.2 주식과 채권의 비교
| 구분 | 주식 | 채권 |
| 자본의 성격 | 자기자본 | 타인자본 (부채) |
| 증권소유자의 지위 | 주주 | 채권자 |
| 증권소유자의 권리 | - 의결권 및 경영참가권 - 배당청구권 - 잔여재산청구권 |
- 회사 정리절차 등에서 채권단에 참여 - 이자 및 원금상환권 - 주식에 우선하는 잔여재산청구 |
| 증권의 존속기간 | 영구적 | 한시적 |
| 위험성 | 크다 | 작다 |
1.3 채권의 종류
- 이자 지급 방법에 따라 : 이표채(회사채, 국고채 등), 복리채(국민주택 1종, 할인채(1년 미만 통안증권)
- 발행하는 주체에 따라 : 국채, 지방채, 은행채, 회사채
| 구분 | 종류 |
| 국채 | 국고채권, 재정증권, 국민주택채권 등 |
| 지방채 | 도시철도채권, 지역개발채권, 상수도채권 등 |
| 특수채 | 한국전력채권, 예금보험기금채권, 부실채권정리기금채권 등 |
| 금융채 | 통화안정증권, 산업금융채권, 신용카드채권, 할부금융채권 등 |
| 회사채 | 보증사채, 담보부사채, 전환사채(CB), 신주인수권부사채(BW) 등 |
2. 채권의 가격과 수익률
2.1 채권 수익률
- 채권에 투자하여 얻을 수 있는 수익의 크기를 나타내는 척도로서 예금의 이자율과 유사한 개념. 채권의 투자성과 측정 및 채권을 평가할 때 사용
- 만기수익률(r)
- 현재 시점에서 채권(이표채 등)을 매입하여 만기까지 보유하는 경우에 투자자가 얻을 수 있는 연간 평균수익률
- 채권의 사장가격과 그 채권을 소유할 경우 얻을 수 있는 미래 현금흐름(액면이자 및 액면가)의 현재가치를 일치시켜 주는 할인율
- 채권가격과 만기수익률은 반비례 관계이며, 일대일 대응되는 동일한 정보임 : 가격 ↑ ↔ 수익률 ↓
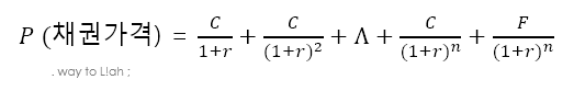
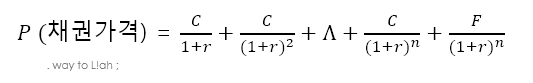
2.2 채권가격

2.3 채권의 현금흐름 유형

3. 채권시장
- 장외거래 중심 : 채권거래 중 80~90% 차지 (2006년 91%, 2010년 90%, 2020년 72%)
- 국내 채권시장은 기관투자자를 중심으로 100억원 단위의 대규모 장외거래가 일반적
1) 장내시장
- 경쟁매매 적용
- 일반채권시장 : 불특정 다수의 일반투자자가 참여할 수 있는 시장
- 국채딜러간 경쟁매매시장 : 국채 자기매매업을 허가받은 기관인 국채딜러간 매매거래 및 증권회사를 통한 위탁매매를 위하여 유가증권시장본부가 개설한 시장
2) 장외시장
- 개인투자자들이 일부 참가하기도 하지만 주로 금융기관이나 법인이 거액자금을 운용하는 시장이며 관행적인 매매수량단위는 액면 100억 원의 정수 배
- 증권선물거래소에 상장된 채권이나 비상장채권을 대상으로 증권회사 또는 채권자기매매 업자간 중개회사(IDB : Inter-Dealer Broker)를 통하여 거래하는 시장
- 대고객상대매매시장 : 거래소 시장에서의 거래가 거래 장소나 거래유가증권, 조건의 비표준화 등으로 곤란한 채권에 유동성을 부여한 시장
4. 채권투자
- 간접투자 : 채권형 펀드 또는 상장지수펀드(ETF)를 통한 채권 간접투자 방법
- 직접투자 : 주식투자와 유사 (예: 브라질 채권 투자)
- 예시
- 금리하락국면 : 간접투자 (채권가격 평가이익), 우량등급 장기채권 펀드
- 금리상승국면 : 직접투자 (확정수익 추구), 하이일드 단기채권 펀드
5. 듀레이션 (Duration)

- 채권의 만기일까지 각 기간을, 각 기간에 들어오는 현금흐름의 현재가치가 전체 현금 흐름의 현재가치(채권가격)에서 차지하는 비율로 가중하여 합한 가중 평균만기를 의미함
- 투자원금의 회수기간
- 채권수익률(할인률)의 변화에 따른 채권가격 변화를 측정하는 수단
- 수익률(금리) 변화에 대한 채권가격 변동의 민감도
- 듀레이션 ↑ → 이자율위험 ↑
- dP/p = (-) × D × dy (P: 가격, y: 금리) → 채권가격변화 = (-) × D × 채권금리변화(%)
| 구분 | 채권가격 | ||||
| D=1 | D=2 | D=3 | D=5 | ||
| 금리변화 | +1% | -1% | -2% | -3% | -5% |
| -1% | +1% | +2% | +3% | +5% | |
6. 채권투자 수익 = 이자수익 + 자본손익
- 이자수익 : 매입금리
- 자본손익 : (-) × 채권매도 시 듀레이션 × 금리변동(%)
- 예시 : 3년 만기 국민은행채(복리채)를 7.7%에 매수하고, 1년 후에 4.7%에 매도하면 투자수익률은?
- 이자수익 : 7.7%
- 자본손익 : 6.0% [ = (-) × 2 × (-3.0)% ]
- 국민은행채 1년간 투자수익 = 7.7+6.0 = 13.7%
7. 채권투자 위험
채권 투자 위험이 크면 채권수익률 (할인)이 높음
1) 신용위험 (Credit Risk)
원리금을 안 갚아줄 위험
- 부도위험
- 신용등급하향 위험
- 스프레드확대 위험 : 국채와의 스프레드 확대
2) 금리변동 위험 (Duration Risk)
- 중간에 매도할 경우의 위험
- dP/P = (-) × Duration × dy → 듀레이션이 클수록 금리변동에 따른 가격변동위험이 커짐
3) 유동성 위험 (Liquidity Risk)
- 채권 매도 시, 비용이 발생할 위험
4) 신용평가 회사
- 국내: 한국신용평가, 한국기업평가, 한국신용정보
- 해외 : S&P, Moody's, Fitch
5) 신용평가 등급
| 회사채 (3년 이상) | CP (1년 이하) | 비고 |
| AAA | 투자적격등급 | |
| AA (+, 0, -) | A1 | |
| A (+, 0, -) | A2 (+, 0, -) | |
| BBB (+, 0, -) | A3 (+, 0, -) | |
| BB (+, 0, -) | B (+, 0, -) | 투기등급 |
| B | ||
| CCC | 준부도 |
8. 채권투자 예시
브라질 채권 : 금리인하 + 헤알화 환율
- 2016년 9월 14.25% → 2017년 4월 11.25% : 기준금리 3%p 인하
- 2016년 초반 16.7%를 상회했던 브라질 국채 10년 금리가 2017년에는 10.1%대
- 헤알화 가치 상승 : 2014년 8월 ~ 2015년 9월 14개월 동안 헤알화 가치는 무려 77.4%나 급락한 이후 기준금리 인하에 따른 헤알화 가치가 2016년 이후 상승 추세로 전환

방송대 경제학과, 재테크와 금융투자 - 강의 노트 정리
반응형
'Financial Story > 재테크 기본 이론' 카테고리의 다른 글
| [한국은행] 경제교육 자료 (다운로드) (0) | 2024.12.23 |
|---|---|
| [재테크와 금융투자] ⑭-2 파생상품 (0) | 2023.02.25 |
| [재테크와 금융투자] ⑬-2 잘못된 투자 통념 (0) | 2021.11.04 |
| [재테크와 금융투자] ⑬-1 행태경제학 (0) | 2021.11.03 |
| [제태크와 금융투자] ⑫-5 증권분석 - 기술적 분석: 상대강도지수/투자심리도/이격도/필터기법 (0) | 2021.11.02 |